Grade 7 Mathematics Investigation Term 2 Memorandum 2021
This Mathematics investigation is according to new 2021 ATPs. 10 20 30 40 50 60 70 80 90 a.

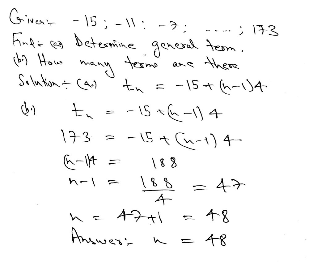
Primary School Term 2 Exam Resources Teacha
It counts 30 marks and comes with a memo for easy marking.

Grade 7 mathematics investigation term 2 memorandum 2021. Grade 12 DSS Term 1. 3 8 QUESTION 3. Use by you or one client in a single end product which end users are not charged for.
R 4000 R 3500. Task 1 -2017. Grade 11 Investigation Circle Geometry 2021.
Circle all the numbers which you have not yet crossed out. 4 files March 28 2021. Activity 2 Revision of multiplication.
Formal assessment task 3 investigation decimal fractions integers memo Login. 2021 Covid 19 Recovery Curriculum. All the exam commercial bank of ethiopia.
Baie goeie toets dankie. PROVINCIAL ASSESSMENT TASK GRADE 11 MATHEMATICS INVESTIGATION MARKING GUIDE MARCH 2021 MARKS. Circle 7 and cross out all multiples of 7.
All the circled numbers are prime numbers smaller than 100. Grade 11 Investigation Equations and Roots Term 1 2021. 2020 NSC Examination Reports 2020 NSC Internal Moderators Reports NEW 2021 Practical Assessment Tasks PATs 2021 Gr12 Examination Guidelines Assessment.
Grade 11 Math Test March 2021 Frans du Toit. One of the key distinctions between Grade 10 11 and 12 learners is the confidence with which learners. 2021 TERM 2 GRADE 7 MATHEMATICS CONTROL TEST quantity.
2 files April 15 2021. Grade 7 Natural Sciences Assessment TASK Exemplar-Term 2 Examination. December 24 2018 Create Date.
National senior certificate. Subject English Paper 2. MATHEMATICS SCHOOL-BASED ASSESSMENT EXEMPLARS 6 CAPS GRADE 12 TEACHER GUIDE QUESTION 2 The sum of the first n terms of a sequence is given by.
Grade 8 WCED Model Investigation Term 2. Gr7- 9 NEW 2019 SBA Exemplar s Booklet. S n n23 3n 21 Write down the first THREE terms of the sequence.
Grade 7 Natural Sciences Assessment TASK Exemplar-Term 2 Examination. View Investigation Grade 10 - 2021 FINALdocx from MATH 111-212 at University of Zululand. 2020 NSC Examination Reports 2020 NSC Internal Moderators Reports NEW 2021 Practical Assessment Tasks PATs 2021 Gr12 Examination Guidelines Assessment Curriculum 2021 Telematics Booklets NEW Curriculum Support Early Years.
PROVINCIAL ASSESSMENT TASK GRADE 10 MATHEMATICS INVESTIGATION 23 26 MARCH 2021 MARKS. View 2021 Grade 11 Investigation - Final Memodocx from MATH 111-212 at University of Zululand. Life science project of 2016 of september.
Download sample papers of vvm of 2016. Horvath Date 27 October 2016 Total marks 30 Session 1 Duration 1h30mins Grade 5 Moderator Mrs A Singh This Exam has been compiled using notes and information contained in the Tom Newby School book. October 2015 Grade 7 Zimsec Mathematics Past Exam Paper.
5 22 Calculate the 15th term of the sequence. Assessments amended For 2021 formal assessment task 3 investigation patterns and common fractions memo Login. Test 1 Memo.
Write the prime numbers down in your book. The total price includes the. Writing Examiner Miss LS.
3 digit x 2 digit numbers. Formal assessment task 3 investigation patterns and common fractions. 2 files March 29 2021.
130 MB File Size. S n n23 3n 21 Write down the first THREE terms of the sequence. Assignment 1 Memo.
21 A grade 7 class went on a tour to explore plant and insect species in nature. Life Sciences and Mathematical Literacy. May 20 2021 Annelise Vermeulen.
Copy and complete the tables. PDF and Word Format Wiskunde Onnie. Mathematics Investigation Gr6 Term 2.
2 files April 8 2021. Grade 11 Math Test and Memo Free State March 2018. Look at the sketch with attached scale and investigate how far they travelled.
August 21 2020 Last Updated. 5 22 Calculate the 15th term. MATHEMATICS SCHOOL-BASED ASSESSMENT EXEMPLARS 5 CAPS GRADE 12 LEARNER GUIDE QUESTION 2 The sum of the first n terms of a sequence is given by.

Mathematics Gr 9 Investigation Term 2 Memorandum

Grade 11 Assignment Capricorn South District Ter Gauthmath

Mathematics Investigation Gr 6 Term 2 Brainiacs Tutoring Centre

2021 Term 1 Grade 8 Mathematics Test Teacha

2021 Term 2 Grade 7 Mathematics Control Test Teacha

2021 Term 1 Grade 8 Mathematics Test Teacha

History Grade 10 11 Programme Of Assessment Term 1 Term 2

2021 Term 2 Grade 7 Mathematics Control Test Teacha

2021 Term 2 Grade 7 Mathematics Control Test Teacha

Coursera Machine Learning Capstone Project For Money In 2021 Student Information Essay Essay Questions

Mathematics Investigation Gr 4 Term 2 Brainiacs Tutoring Centre

Mathematics Investigation Gr 6 Term 2 Brainiacs Tutoring Centre

2021 Term 1 Grade 8 Mathematics Test Teacha

2021 Term 1 Grade 9 Mathematics Test Teacha

Business Progress Report Template Awesome 17 Sample Student Progress Reports In 2021 Progress Report Template Progress Report Report Template

Refugee Tent Technology Grade 7 Technology Projects School Projects School Diy
2021 Grade 11 Question Papers Apps On Google Play

Year 4 Maths Worksheets In 2021 4th Grade Math Go Math Kindergarten Free Math Worksheets

Primary School Term 2 Exam Resources Teacha